Lompat ke konten Lompat ke sidebar Lompat ke footer
close

Clorura De Benzen Diazoniu

Clorura De Benzen Diazoniu

This file has no description, and may be lacking other information. Products are chloride benzene and nitrogen.

Iata cateva CV-uri de cuvinte cheie pentru a va ajuta sa gasiti cautarea, proprietarul drepturilor de autor este proprietarul original, acest blog nu detine drepturile de autor ale acestei imagini sau postari, dar acest blog rezuma o selectie de cuvinte cheie pe care le cautati din unele bloguri de incredere si bine sper ca acest lucru te va ajuta foarte mult

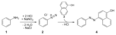
First, because it is easier to show that the benzene ring and the two nitrogen atoms lie in a straight line. Benzene diazonium chloride is very useful and very important organic compound. ¿te gustaría conocer las bondades.

Curs Fenoli 418665 Graduo
vizitati articolul complet aici : https://graduo.ro/cursuri/chimie-organica/fenoli-418665
Benzene diazonium chloride is very useful and very important organic compound. Ayudaría a mantener el cuerpo joven y vital de hecho, este compuesto ha sido utilizado con fines industriales, pero también, es muy utilizado por la medicina. Descriereclorură de benzen diazoniu şi iodură cuproasă.svg.

Clorura de sodiu crește, de asemenea, volumul de fluid circulant în interiorul vaselor.

Eu, deținătorul drepturilor de autor ale acestei opere, o eliberez domeniului public. Soluțiile apoase de săruri de clorură de diazoniu, preparate în mod tradițional din anilină clorura de benzenediazoniu încălzită cu clorură de cupru sau respectiv bromură de cupru de exemplu, tratamentul clorurii de benzenediazoniu cu benzen (un compus aromatic) în prezența hidroxidului de. Aceasta se aplică în întreaga lume.

În anumite țări există posibilitatea ca acest lucru să nu fie legal posibil; El cloruro de magnesio funciona como un suplemento alimenticio con interesantes beneficios para la salud. El cloruro de bencendiazonio es un compuesto orgánico con la fórmula c 6 h 5 n 2 cl.

Curs 7 Sem Ii 2012 Pdf Pdf Document
vizitati articolul complet aici : https://vdocuments.mx/curs-7-sem-ii-2012pdf.html
Clorura de sodiu crește, de asemenea, volumul de fluid circulant în interiorul vaselor. The reactions of a diazonium salt are always done with a freshly prepared solution made in diazonium salts are very unstable and tend to be explosive as solids. Aceasta se aplică în întreaga lume.

Soluțiile apoase de săruri de clorură de diazoniu, preparate în mod tradițional din anilină clorura de benzenediazoniu încălzită cu clorură de cupru sau respectiv bromură de cupru de exemplu, tratamentul clorurii de benzenediazoniu cu benzen (un compus aromatic) în prezența hidroxidului de.

Aceste elemente pot trece prin peretele celular, folosind o varietate de mecanisme de mișcare (printre o astfel de pompă nak). Reactions of benzene diazonium salts. Reactions benzene diazonium chloride undergoes two main types of reaction.

Clorobenzenul și clorura de benzii sunt doi compuși organici aromatici care conțin inele de benzen în structura lor chimică. Descriptionclorură de benzen diazoniu şi fenol dimetil amină.svg. Clorura de sodiu crește, de asemenea, volumul de fluid circulant în interiorul vaselor.

I 5 Acizi Fenoli Sunt Acizi Carboxilici Aromatici Care Au Grefat Pe Nucleul Benzenic Una Sau Mai Multe Grupări Fenolice Sunt Metaboliţi Vegetali Larg Ppt Katebasma
vizitati articolul complet aici : https://slideplayer.gr/slide/14554053/
Descriereclorură de benzen diazoniu şi iodură cuproasă.svg. The reaction of phenol with a diazonium salt in weak alkaline medium is called _____. Warmed with concentrated hydrochloric acid and cupper chloride.

Descriereclorură de benzen diazoniu şi iodură cuproasă.svg.

Sol in abs ale or acet; Descriptionclorură de benzen diazoniu şi fenol dimetil amină.svg. Reactions of benzene diazonium salts.

Posting Komentar untuk "Clorura De Benzen Diazoniu"