Lompat ke konten Lompat ke sidebar Lompat ke footer
close

Integrale Definite Exercitii Rezolvate

Integrale Definite Exercitii Rezolvate

*o rugăminte am și eu: Participa si tu la dezvoltarea comunitatii:

Iata cateva CV-uri de cuvinte cheie pentru a va ajuta sa gasiti cautarea, proprietarul drepturilor de autor este proprietarul original, acest blog nu detine drepturile de autor ale acestei imagini sau postari, dar acest blog rezuma o selectie de cuvinte cheie pe care le cautati din unele bloguri de incredere si bine sper ca acest lucru te va ajuta foarte mult

O functie rationala se numeste functie rationala simpla, daca are una din formele: , matematica avansata si exercitii explicate, demonstratii de integrale definite. Exerciţii rezolvate cu integrale nedefinite (primitive).

Primitive Ale Unei Functii Si Integrala Nedefinita
vizitati articolul complet aici : https://liceunet.ro/ghid-calcul-integral/primitive
Lectia face parte din cursul Cateva exemple de exercitii rezolvate. Exerciții rezolvate cu integrale +fișă de lucru cu primitive bac:

5.probleme și exerciții cu integrale rezolvate.

Exerciţii rezolvate cu integrale nedefinite (primitive). Să se calculeze, folosind prima metodă de schimbare de variabilă, primitivele următoarelor funcţii: B) tabel cu valori ale functiilor trigonometrice (1).

Variante m1 rezolvate subiecte si bareme date in anii trecuti la examenul de bacalaureat la matematica formule bac mate variante m2 rezolvate rezolvari variante m1 si m2 variante m3 rezolvate. In cele peste 600 de videoclipuri ale. Exerciții rezolvate cu integrale +fișă de lucru cu primitive bac:

Integrala Definita Inegalitati Exercitii Rezolvate Youtube
vizitati articolul complet aici : https://www.youtube.com/watch?v=0RqKrqloOiI
Integrală abordată ca sumă riemann pe o diviziune, cu poziții și lățimi de eșantionare neregulate (lățimea maximă cu roșu). Il simbolo dell'integrale ∫ rappresenta la somma. Formula puteri, formule analiza financiara, inmultirea radicalilor exercitii rezolvate.

In geometria l'integrale definito è utilizzato per calcolare l'area di una l'integrale definito della funzione f(x) nell'intervallo a,b è indicato con la seguente notazione.

We provide a very simple and intuitive mechanism for functions input and choice of integration variable, for which you do not have to convert a function specified in one variable to another, thereby excluding possible errors and typos. Exerciții rezolvate cu integrale +fișă de lucru cu primitive bac: Integrala definita | calculul integralei definite.

Orice functie rationala se poate descompune in mod unic, in suma de functii rationale simple. , matematica avansata si exercitii explicate, demonstratii de integrale definite. Type in any integral to get the solution, free steps and graph.

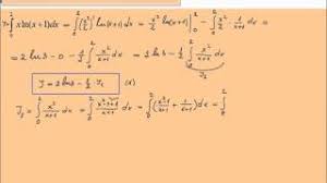
Integrale Definite Metoda Substitutiei Forum Anideșcoală Ro
vizitati articolul complet aici : https://forum.anidescoala.ro/viewtopic.php?t=26088
Exerciţii rezolvate integrare prin părţi →. Să se calculeze, folosind prima metodă de schimbare de variabilă, primitivele următoarelor funcţii: Exerciţii rezolvate integrare prin părţi.

Integrala definită reprezintă aria regiunii delimitate de graficul unei funcții.

You can accept it (then it's input into the calculator) or generate a new one. Integrala nedefinită se mai numeşte şi primitivă. 21.225 utilizarea primului tabel de primitive p2/2 integra nedefinita vs integrala definita.

Posting Komentar untuk "Integrale Definite Exercitii Rezolvate"